التوحدBehavioral Interventions for Autism Spectrum Disorder: A Brief Review and Guidelines With a Specific Focus on Applied Behavior Analysis ameraeldamarany@gmail.com / مارس 9, 2026
التوحدApplied behavioral analysis for the skill performance of children with autism spectrum disorder ameraeldamarany@gmail.com / مارس 9, 2026
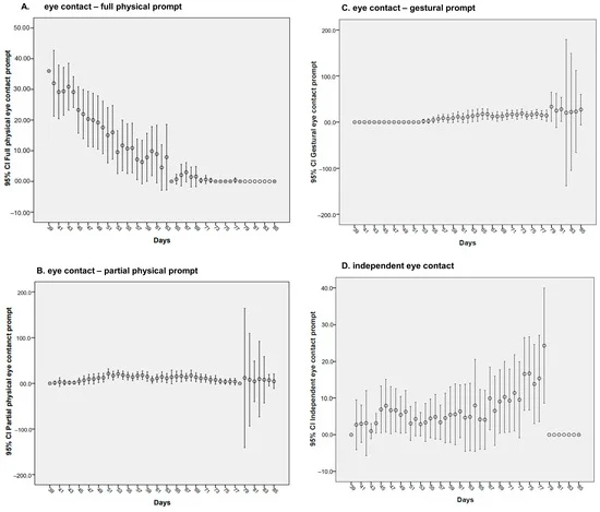
التوحدExploring the Acquisition of Social Communication Skills in Children with Autism ameraeldamarany@gmail.com / مارس 9, 2026
التوحدFrom Harm to Healing: Building the Future of ABA with Autistic Voices ameraeldamarany@gmail.com / مارس 9, 2026
التوحدExplore Success Stories, Video Examples, and Tutorials from Assessment and Treatment Processes Consistent with Today’s ABA ameraeldamarany@gmail.com / مارس 9, 2026
التوحدالتواصل الاجتماعي لدى التوحد من فهم التحديات إلى بناء جسور المهارات ameraeldamarany@gmail.com / مارس 7, 2026
التوحدالتوحد لدى البالغين-فوائد وتطبيقات علاج تحليل السلوك التطبيقي (ABA) ameraeldamarany@gmail.com / مارس 7, 2026